Pharmaceutical Reference Standards / Impurity Standards

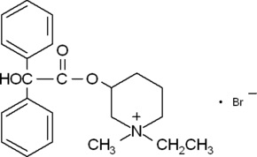
Pipenzolate Bromide
Pipenzolate Methylbromide
Benzilic acid